TH2884 脉冲式线圈测试仪
主要参数:
线圈类产品(如变压器、电机等)由于绕线材料、磁性材料、骨架、加工工艺等因素的影响会产生线圈层间、匝间及引脚间等绝缘性能的降低。TH2884系列脉冲式线圈测试仪是采用高速采样技术研制的新一代线圈类产品绝缘性能的分析测试仪器。
TH2884将标准线圈的采样波形存储于仪器中,测试时将被测线圈的测试波形与标准波形比较,根据设定的判据(面积、面积差、毛刺总量、最大毛刺等)以判定被测线圈的优劣。本仪器集成了强大的功能、精密的测试手段、灵活的操作方法及多种接口方式,可为大多数线圈类产品提供测试解决方案。
A.低至0.1μH,高至100μH的宽电感测试范围
TH2884脉冲式线圈测试仪是针对低感量绕线元件设计研发,最小可测试0.1μH线圈的层间、匝间短路。低感量线圈测试时相对常规线圈测试,更容易受测试线的等效电感分压影响,所以双同轴四端测试(激励与采样各两端)的方式,可以采集到待测件两端的真实信号。
由于低感量线圈的实际工作电压较低,测试中也需要用到低压脉冲。TH2884设计电压为10V-1000V,最低测试电压达10V,因此可有效提高低感量线圈的测试分辨能力。
B.试前测试,提前判断潜在不良
试前测试是在正式测试前先以较低的电压测试被测件,并利用最大毛刺及波峰差来判断被测件是否有潜在的微短路不良。以防止正式测试的较大电压烧蚀内部微短路处后绝缘改善引起的误判。

C.线圈脉冲测试原理
脉冲测试法是对绕线元件施加一个非破坏性、高速、低能量的电压脉冲。由于储能电容(C1)与被测绕线元件并联,脉冲电压加载至并联线路上后,产生LC谐振(Resonance),通过观察谐振振荡(Oscillations)的衰减情况即阻尼(Damping)来了解绕线元件内部线圈的状态(包含线圈自身绝缘Rx、电感量Lx及并联电容量Cx等状态)。

用相同的电容器储存相同的电压,再通过相同宽度的脉冲放电施加至被测线圈与标准线圈,由于线圈电感量和Q值的存在,将响应一个对应于该放电脉冲的电压衰减波形,比较两者衰减振荡波形可判断线圈优劣。

上图中的自激振荡衰减振荡波形直接和线圈的电感值L及品质因素Q值有着密切的关系,而L值及Q值又和线圈的圈数(层间、匝间短路,圈数差)、制造工艺(电极焊接不良),有导磁材料的情况下,还可判断其材质的差别等;高压脉冲下电晕放电的发生还可以对绕组层间或多个绕组间绝缘不良、磁芯绝缘不良进行判定。
当线圈匝间或者层间出现下列情况时,会呈现不同波形:



D.波形比较方式
TH2884脉冲式线圈测试仪将以往脉冲式线圈测试仪的四种比较模式扩展成为九种方式将被测件波形与仪器预存标准采样波形进行比较:面积比较、面积差比较、毛刺总量比较、最大毛刺比较、波峰比比较、波峰差比较、角频率及衰减系数比较、品质因数比较,九种方式有如下不同点:
- 面积比较
任意指定的A-B区间内对被测线圈测试波形面积进行(积分)计算,并与标准波形在此区间内的面积进行比较,用这两个波形面积的差异值与标准波形在此区间的面积的百分比作为判定依据,判定基准用百分比来设定。

波形面积近似地与能量损失成正比,故可使用面积比较方法来判断线圈中的能量损耗情况,有效地检测线圈层间和匝间短路。
- 面积差比较
在任意指定A-B区间内对被测线圈测试波形和标准波形的Y轴方向的差异值进行计算(积分计算的结果为A-B区间内的阴影部分)和标准波形在此区间的面积比较,基准用百分比来设定。

面积差比较方法主要表现了电感量L的差异和能量的损耗,这个比较方法可以有效的检测标准线圈和被测线圈的电感量L的差异。
3.毛刺总量比较
将没有毛刺的标准波形和有毛刺的采样波形分别进行一次微分计算,得到一次微分波形,在任意指定的A-B区间内将一次微分波形进行积分计算,对得到的标准波形、被测波形面积的差异值与设定值进行比较。

将没有毛刺的标准波形和有毛刺的测试波形分别进行一次微分计算,得到一次微分波形,如图所示。

在任意指定的A-B区间内对一次微分波形面积进行(积分)计算,并与标准波形在此区间内的面积进行比较,用这两个波形面积的差异值与设定值进行比较。毛刺总量主要体现了待测线圈内部的放电数量,可直观反映待测线圈的内部绝缘层破损所致短路打火的程度。
- 最大毛刺比较
将没有毛刺的标准波形和有毛刺的测试波形分别进行二次微分计算,得到二次微分波形,在任意指定的A-B区间内分别查找标准波形和测试波形二次微分波形最大值,两个最大值的差异值和设定值进行比较。最大毛刺比较法可有效反映因电气不良或电极焊接不良引起的放电程度。

- 波峰比比较
将被测件自谐振波形的第一个峰值与第二个峰值计算出波峰比,与设定值进行比较。可直观反映待测件相对标准品的等效并联电阻与Q值差异。

- 波峰差比较
将标准波形和测试波形波峰比进行比较,用这两个波峰比的差异值与标准波形的波峰比的百分比作为判定依据,判定基准用百分比来设定。

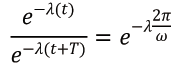
- 角频率ω、衰减系数λ比较(专利CN117192443)
自体谐振波形的振荡波形可近似的表示为V=A·eλt·cos(ωt),ω即角频率,λ即衰减系数,用同惠电子特有的最优化算法,根据离散的采样点计算出角频率和衰减系数,再与标准波形的角频率和衰减系数进行比较,用差异值与标准波形的角频率和衰减系数的百分比作为判定依据,判定基准用百分比来设定。
8. 品质因数比较
理论上λ=0时,无阻尼震荡,波峰间隔固定即为周期
指数函数的性质导致固定间隔T的比值也固定(即波峰比)。

可精确反映测试品与标准品之间品质因素Q的微小差异。
- 破坏测试功能
虽然线圈匝间短路和层间短路测试与施加电压大小关系不是很大,但是线圈内绝缘状态测试中,施加的脉冲电压幅度是一个很重要的问题。如何设置合适的测试电压呢?
除了行业内的规定电压外,对于新品或试验性的,可以通过该测试功能来找到适合的测试电压。
应用
■ 电机线圈匝间绝缘/层间短路测试
■ 变压器线圈匝间绝缘/层间短路测试
■ 绕线电感线圈匝间绝缘/层间短路测试
技术参数
| 型号 |
TH2884 |
|
| 输出通道 |
1 |
|
| 脉冲电压 |
范围 |
10V-1000V |
| 步进 |
1V |
|
| 采样精度 | ± [1% 设定值 x (1+0.5µH / Lx) + 2% 满量程] | |
| 电感量测试范围 |
0.1μH-100μH |
|
| 脉冲能量 |
0.75J | |
| 测量速度 |
16ms (脉冲数1,ACQ宽度) | |
| 施加脉冲数 |
测试脉冲 |
1-32 |
| 励磁脉冲 |
0-9 |
|
| 输入阻抗 |
4MΩ | |
| 显示器 |
10.1寸电容式触摸屏,1280×800 |
|
| 波形采集 |
采样率 |
200MSPS/5ns |
| 位宽 |
12Bits |
|
| 采样深度 |
12k |
|
| 样本平均 |
1-32 |
|
| 比较方式 |
面积、面积差、毛刺总量、最大毛刺、波峰比、波峰差、角频率、衰减系数、品质因数 |
|
| 波形测量 |
电压、时间、频率 |
|
| 触发方式 |
手动/外部/总线 |
|
| 判别输出 |
PASS/FAIL显示、LED灯显示、蜂鸣器报警 |
|
| 测量统计 |
测量结果的统计功能 |
|
| 存储器 |
内部 |
32G |
| U盘 |
可扩展 | |
| 接口 |
RS232C、USB DEVICE、USB HOST、LAN、HANDLER |
|
| 电源 |
供电 |
110V/220V±10% ,50Hz/60Hz ±5% |
| 功耗 |
||
| 工作环境 |
温度 |
0℃ - 40℃ |
| 湿度 |
≤75%RH |
|
| 安全和电磁兼容 |
IEC61010-1:2001,IEC61326-2-1:2005 |
|
| 体积(mm) |
430mm×177mm×570mm | |
| 重量 |
约27kg | |








粤公网安备 44190002007491号